Contoh surat keterangan jual beli tanah ini bertujuan untuk memberikan panduan atau referensi bagi anda dalam melakukan transaksi jual beli tanah. Contoh surat pernyataan penyerahan tanah.
                        5 Contoh Surat Wasiat Untuk Berbagai Keperluan Romadecade
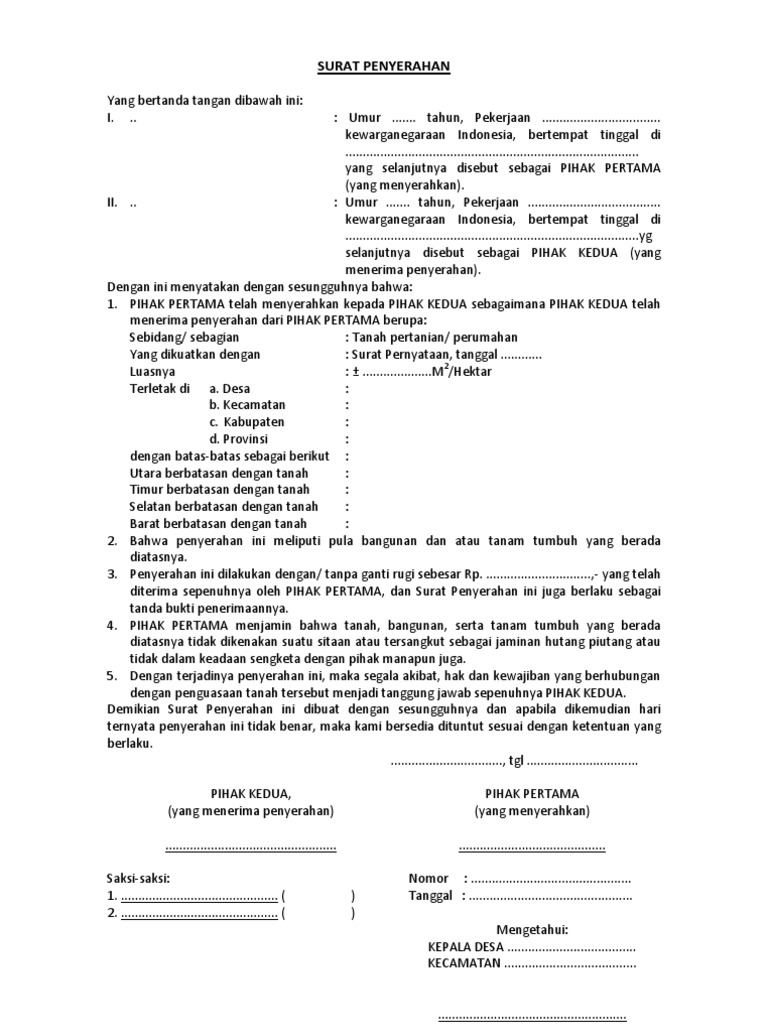
Contoh surat penyerahan tanah. 15 contoh surat kuasa tanah untuk berbagai keperluan setiap harta benda tentu memiliki harga tersendiri yang harus kita jaga. Contoh surat jual beli tanah. Contoh surat pernyataan no. Pegawai negeri sipil no ktp. Dan surat kuasa sendiri ada dua jenis yaitu surat kuasa formal dan surat kuasa non formal. Contoh surat pernyataan penyerahan rumah.
Biasanya dokumen ini bersifat accecoir dari bukti pernyataan lainnya seperti bukti kepemilikan dan bukti peralihan. Bandung 17 agustus 1973 alamat. Contoh surat pernyataan penyerahan sertifikat tanah sertifikat adalah surat tanda bukti untuk hak atas tanah hak pengelolaan tanah wakaf hak milik atas satuan rumah susun dan hak tanggungan yang masing masing sudah dibukukan dalam buku tanah yang bersangkutan. 214 cibinong bogor pekerjaan. Surat kuasa formal sendiri surat kuasa yg diberikan oleh dinas atau perusahaan kepada dinas atau perusahaan lainnya. Yang bertanda tangan di bawah ini kami pasangan suami istri.
Pada artikel sebelumnya kita telah membahas mengenai surat perjanjian jual beli rumah sederhanapada artikel contoh surat perjanjian jual beli tanah terbaru kali ini kita akan membahas mengenai topik yang hampir sama. Yang membedakan hanya objeknya yaitu tanah. Surat pernyataan penyerahan rumah. Surat pernyataan penyerahan tanah merupakan bukti dokumen bahwa seseorang telah menyerahkan tanah yang dimilikinya kepada pihak lain baik itu melalui jual beli hibah ataupun lainnya. Membuat surat keterangan jual beli memang menjadi keharusan jika kita akan melakukan transaksi. Jika kita memiliki harta benda maka sangat penting bagi kita untuk menjaga dan merawat harta tersebut seperti harta tanah contohnya.
Beberapa pasal yang mengikat status secara hukum begitu penting untuk anda perhatikan mulai dari pasal penyerahan lahan status kepemilikan tanah masa berlaku hingga perjanjian untuk penyelesaian perselisihan. Pihak pertama menjamin bahwa tanah bangunan serta tanam tumbuh yang berada diatasnya tidak dikenakan suatu sitaan atau tersangkut sebagai jaminan hutang piutang atau tidak dalam keadaan sengketa. Baik menjual maupun membeli. Penyerahan ini dilakukan dengan tanpa ganti rugi sebesar rp. Yang telah diterima sepenuhnya oleh pihak pertama dan surat penyerahan ini juga berlaku sebagai tanda bukti penerimaannya. Nah berhubung tampilan di atas tidak rapih dan kami juga menon aktifkan fungsi copy paste pada blog ini maka kami sediakan contoh surat keterangan hibah tanah ini dalam format ms.
Hal ini akan ditentukan sesuai kesepakatan dua belah pihak. Jika anda tidak memiliki kesempatan untuk merawat dan menjaga tanah tersebut maka anda bisa memberikan kuasa kepada orang lain. Agak berantakan yha format surat nya yha hal itu karena keterbatasan html dalam mengolah kata tidak seperti dalam ms word. Contoh surat kuasa tanah surat kuasa merupakan surat yg berisikan pelimpahan wewenang dari seseorang kelompok atau perusahaan kepada seseorang kelompok atau perusahaan lain.














