Pengguna kendaraan diminta mencari jalan alternatif. Teks berita 1 menjelang akhir tahun dan menyambut tahun baru kapolres bogor meminta pengguna kendaraan untuk tidak melalui jalur puncak.
                        Contoh Soal Menentukan Topik Berita Pelajaran Bahasa
Contoh soal teks berita. Teks berita 1 kasat lalu lintas polres bogor mengimbau kepada pengendara dari jabodetabek yang hendak berkunjung ke puncak agar berangkat sebelum pukul 1300 menjelang tahun baru. Terjadi kebocoran soal haruskah un diulang. Contoh teks berita. Soal bahasa indonesia berita 1. Usaha manajemen sriwijaya fc sfc untuk mendapatkan striker budi sudarsono tinggal selangkah lagi. Imbauan ini sebelumnya sudah.
Contoh soal materi pokok teks berita kelas viii loading. Cermati kutipan teks berita berikut. Pengertian teks berita struktur tujuan fungsi ciri dan contoh teks berita adalah teks yang berisikan hal hal yang mengenai peristiwa yang terjadi di dunia yang kemudian disebarkan luaskan melalui media seperti televisi internet situs web radio dan media lainnya. Contoh teks berita berita sepertinya telah menjadi makanan sehari hari bagi kita semuaapalagi di era digital dengan segala pernak pernik kemajuan teknologi seperti sekarang ini yang semakin memudahkan kita untuk mengakses berita apapun kapanpun dan dimanapun. Hal ini berkaitan dengan rencana penutupan jalur menuju puncak sejak pukul 1300. Kesepakatan harga sudah dicapai tinggal menunggu tanda tangan kontrak.
Pendidikan di indonesia kembali bermasalah pada hari rabu 23 april 2015 soal un untuk smp diduga telah bocor. Untuk lebih jelasnya lagi kami akan membahas materi teks berita mulai dari pengertian struktur tujuan fungsi ciri. Disajikan kutipan teks berita siswa dapat menentukan isi teks berita tersebut soal 1. Hal ini berdasarkan pertimbangan yang menyangkut besarnya nilai biaya pembuatan soal. Berita telah menjadi makanan sehari hari bagi kita contoh dari teks berita singkat seperti berita kecelakaan dan bencana alam. Semoga contoh soal soal diatas tentang teks berita dapat bermanfaat untuk kalian yang sedang belajar bahasa indonesia.
Menjawab soal soal yang lain akan terasa lebih mudah bila kalian sering berlatih mengerjakan soal soal. Kalimat yang digunakan dalam teks berita adalah. Ini merupakan berita besar yang langsung ditanggapi oleh menteri pendidikan yaitu anies baswedan. Contoh soal teks berita dan jawabannya teks berita adalah teks yang melaporkan kejadian peristiwa atau infomasi mengenai sesuatu yang telah atau sedang terjadi. Cermati kutipan teks berita berikut. Contoh teks berita singkat tentang politik.
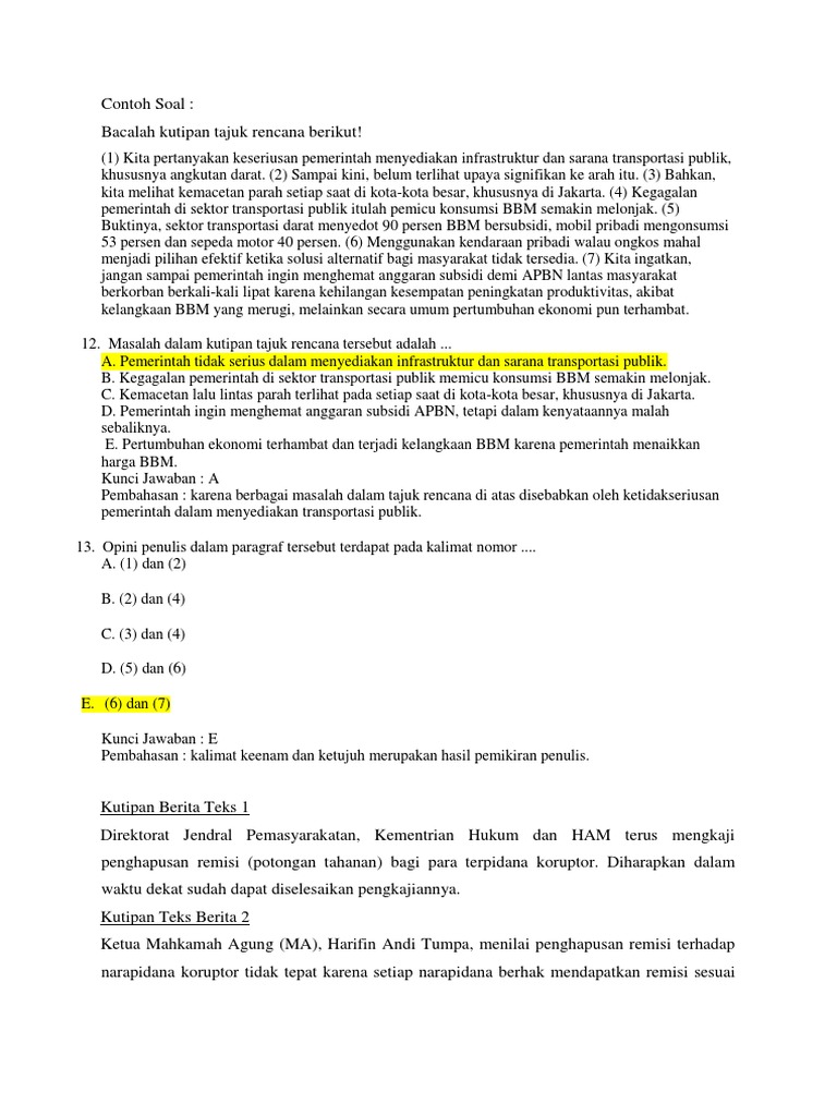
Penyampaian berita ini bisa dilakukan secara lisan yang sering kita dengar dan lihat di televisi dan secara tulisan yang dapat kit abaca di media cetak.












