Tentukan penyelesaian dari pertidaksamaan 2 2x3 8 x 5. Pertidaksamaan eksponen untuk tipe sederhana sangatlah mudah namun pertidaksamaan eksponen lanjut akan lebih sulit dan akan sering dikeluarkan soalnya pada ujian nasional dan soal seleksi masuk perguruan tinggi.
Rpp Mat Minat Kelas X Bab 1 Fungsi Persamaan Dan
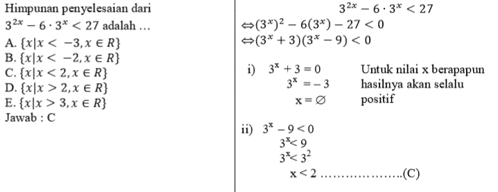
Contoh soal pertidaksamaan eksponen. Berikut ini materi lengkap tentang persamaan eksponen dan pertidaksamaan eksponen mulai dari konsep dasar sifat sifat rumus hingga contoh soal dan. Di sini kamu akan belajar tentang pertidaksamaan eksponen melalui video yang dibawakan oleh bapak anton wardaya. Tenang saja pada artikel ini akan kita pelajari untuk tipe pertidaksamaan eksponen sederhana dan lanjut. Oke supaya kamu semakin paham di bawah ini ada contoh soal pertidaksamaan eksponen. Materi pembahasan pengertian sifat sifat jenis jenis rumus persamaan eksponen dan contoh soal serta pembahasannya. Syaratnya a tidak boleh sama dengan nol.
Fungsi eksponen dan grafiknya. Kamu akan diajak untuk memahami materi hingga metode menyelesaikan soal. Kumpulan soal mudah sedang sukar. Ke delapan sifat eksponen diatas harus kita pahami dan hafalkan karena sifat sifat eksponen tersebut adalah kunci untuk kita bisa mengerjakan soal soal eksponen. Tentukan penyelesaian dari 3 2x 2 5 x 1 jawab. Tentukan nilai x dari persamaan 35x 1 27x3 0 jawab.
Karena kita ingin menyelesaikan bentuk pertidaksamaan eksponen maka hal yang perlu kamu perhatikan lebih dulu adalah nilai basisnya. Bilangan eksponen nol seperti a 1. Contoh soal fungsi eksponen pengertian eksponen matematika eksponen atau yang lebih sering kita dengar dengan sebutan pangkat adalah nilai yang menunjukkan derajat kepangkatan atau sebanyak berapa kali sebuah bilangan dikalikan dengan bilangan tersebut. Kita kerjakan sama sama ya. Pelajari ringkasan materi contoh soal eksponen kelas 10 logaritma beserta pembahasan jawaban lengkap dari soal un dan sbmptn. Pertidaksamaan eksponen akan mudah kita pelajari jika kita sudah menguasai.
35x 1 27x3 0 35x 1 33x3 35x 1 33x9 5x 1 3x 9 2x 10 x 5 contoh 7 soal. Contoh soal dan pembahasan tentang eksponen sma contoh soal dan pembahasan tentang sifat eksponen sma contoh soal dan pembahasan tentang pertidaksamaan eksponen sma contoh soal dan pembahasan tentang persamaan eksponen sma. Kedua basis pada persamaan diatas berbeda dan tidak ada sifat sifat perpangkatan yang dapat kita gunakan untuk menyamakan kedua basis tersebut.















