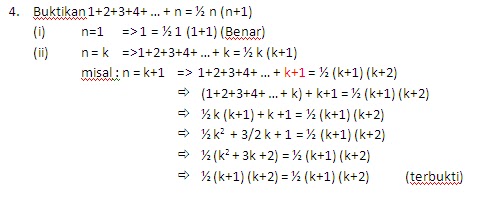
Dimana suatu proses ataupun aktivitas berpikir menarik kesimpulan berdasarkan pada kebenaran pernyataan yang berlaku secara umum hingga pada pernyataan khusus tertentu juga bisa berlaku benar. Coba kita buktikan dengan induksi matematika bahwa rumus sn.
                        Contoh Soal Induksi Matematika Dengan Pembuktian Keterbagian
Contoh soal pembuktian induksi matematika. Contoh soal induksi matematika dan kunci jawaban bank soal induksi matematika dan kunci jawaban beserta pembahasan untuk siswa. Nah di atas kita udah mempelajari konsep dasar dari induksi matematika ya. Pembuktian langsung kontraposisi kontradiksi dan induksi akan dijelaskan dalam artikel ini dengan cara yang mudah melalui contoh di kehidupan sehari hari dan lingkungan sekitar. Induksi matematika atau induksi lengkap kadang juga disebut sebagai induksi matematis atau dalam bahasa inggris mathematical induction adalah salah satu metode pembuktian pernyataan matematika yang melibatkan bilangan asli dan pembuktiannya itu dalam 2 tahap. Metode pembuktian ini digunakan untuk membuktikan pernyataan yang bergantung pada bilangan bulat positif. Sekarang kita lanjut ke proses pembuktian dengan induksi matematikanya.
Prinsip induksi matematika untuk setiap bilangan bulat positif n misalkan pn adalah pernyataan yang bergantung pada n. Kita balik lagi ke contoh di atas yaitu deret ini. Induksi matematika menjadi sebuah metode pembuktian secara deduktif yang digunakan untuk membuktikan suatu pernyataan benar atau salah. Soal yang telah kami rangkum ini sering keluar dalam ulangan ataupun ujian nasional jadi insyaallah sangat bermanfaat untuk siswa pelajari. Induksi matematika menjadi salah satu metode pembuktian secara deduktif yang dipakai untuk membuktikan suatu pernyataan benar maupun salah. Pada pembahasan ini kita akan berlatih untuk membuktikan suatu pernyataan matematis dengan menggunakan induksi matematika.
Basis induksi dan langkah induksi. Induksi matematika materi yang membahas tentang pengertian materi pembahasan dan contoh soal induksi matematika secara lengkap dan terperinci. Induksi matematika merupakan salah satu metode pembuktian dimana dilakukan secara deduktif digunakan demi membuktikan pernyataan matematika yang bergantung terhadap himpunan bilangan yang terinci rapih well ordered setmisalnya bilangan asli maupun himpunan bagian tak kosong dari bilangan aslinya. Albert einstein fisikawan terkemuka pernah lho mempertanyakan kenapa ya teori matematika yang padahal hanya berasal dari pikiran manusia semata bukan dari pengalaman bisa sangat sesuai dan berlaku untuk benda. Induksi matematika merupakan sebuah metode pembuktian deduktif yang dipakai guna membuktikan pernyataan matematika yang berkaitan dengan himpunan bilangan yang terurut rapi well ordered set. Pembuktian dengan induksi matematika.
Jika kalian ingin memahaminya dengan jelas silahkan kalian simak materinya dibawah ini gaes. Dimana merupakan suatu proses atau aktivitas berpikir untuk menarik kesimpulan berdasarkan pada kebenaran pernyataan yang berlaku secara umum sehingga pada pernyataan khusus atau tertentu juga bisa berlaku benar. Bilangan tersebut contohnya bilangan asli maupun himpunan bagian tak kosong dari bilangan asli. Deret ini memiliki un n dan sn nn12.
















