Berikut ini adalah contoh soal peluang matematika kelas 11 yang bisa anda unduh secara gratis dengan menekan tombol download yang ada pada tautan dibawah ini. File guru co id.
                        Rumus Peluang Matematika Dan Contoh Soal Peluang
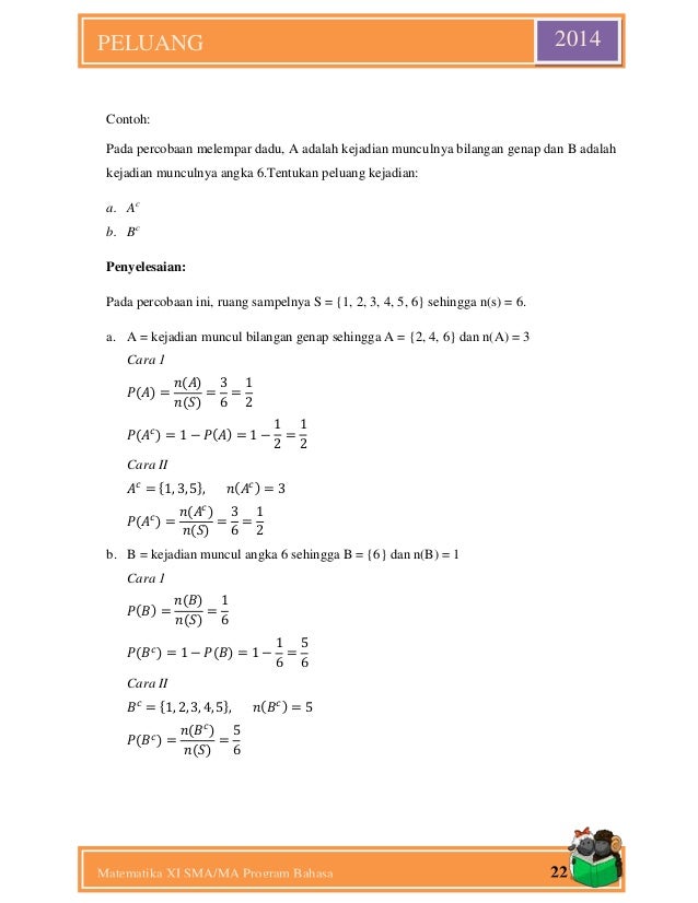
Contoh soal peluang kelas 11. Contoh soal matematika peluang kelas 11. Contoh soal dan pembahasan peluang kelas 11 published by riski ferdian saturday 21 october 2017. Berikut ini adalah materi matematika kelas xi bab peluang. Contoh soal peluang beserta jawaban dan pembahasannya by mughnifar ilham posted on june 13 2020 contoh soal peluang kesempatan ini kami akan mencoba berbagi beberapa contoh soal peluang baik dalam sebuah dadu koin kartu sampai dengan sebuah data statistik yang dimana akan lebih susah bisa sahabat pelajari disini. Sekian ya contoh soal dan pembahasan materi statistika kela 11 semoga dapat membantu. Aljabar bangun ruang sisi lengkung bilangan bulat fungsi garis himpunan kelas 7 kelas 8 kelas 9 kesebangunan lurus pecahan.
Jadi peluang yang akan terambilnya kelereng putih dari kantong pertama dan kelereng hitam dari kantong kedua ialah 38 x 610 1880 940 jawaban. Supaya lebih komplit admin akan kupas tuntas tentu saja semua contoh soal peluang dan pembahasannya kelas 9 sampai 11 baik berupa kejadian majemuk dan masih banyak lagi. Berikut ini adalah contoh soal peluang. Berikut ini adalah file tentang contoh soal matematika peluang kelas 11 yang bisa bapakibu unduh secara gratis dengan menekan tombol download pada tautan link di bawah ini. Materi peluang matematika pengertian dan rumus soal terlengkap. Karena memang jenis materi matematika yang satu ini sangat biasa sekali keluar dalam ujian nasional nantinya di tingkat smp.
Untuk mengerjakan soal dibawah ini di sarankan kepada pembaca untuk memahami kembali materi peluang pada artikel. Dalam pelemparan sebuah dadu peluang muncul mata dadu ganjil adalah. Demikianlah artikel dari pengajarcoid tentang contoh soal peluang dan pembahasannya semoga bermanfaat. Silahkan anda cermati dan pelajari sendiri tayangan di bawah ini kemudian setelah itu anda bisa mendiskusikannya bersama teman teman anda atau anda bisa langsung menuju ke soal soal uji kompetensi di sini. Soal kewirausahaan kelas xi semester 1 soal uts kewirausahaan kelas xi beserta jawabannya contoh kewirausahaan xi seni budaya smasmk semester 1 berikut ini adalah soal kwu semester ganjil yang telah saya peroleh ketika saya masih kelas xi smk di soal ini kita akan membahas tentang peluang resiko usaha jenis badan usaha dan hal hal yang. Contoh soal dan pembahasan tentang peluang contoh soal dan pembahasan tentang peluang dadu contoh soal dan pembahasan tentang mata uang logam.
Setelah kita bahas tentang peluang kejadian pada postingan sebelumnya kali ini kita bahas tentang contoh soal dan pembahasan materi peluang matematika.














