Medan magnetik berarah masuk bidang kertas ditunjukkan oleh tanda x dan memiliki besar 02 t. Rumuscoid sebelumnya kita sudah membahas mengenai dioda dan dioda zenerpertemuan kali ini kita akan membahas mengenai medan magnet mulai dari rumus pengertian materi lengkap contoh soal.
                        Medan Magnet Rumus Pengertian Materi Lengkap Contoh Soal
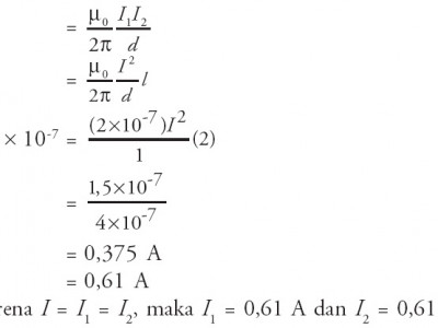
Contoh soal medan magnet dan pembahasannya. Tentukan besar dan arah induksi magnetik di titik p yang berada tepat di bawah kawat tersebut pada jarak 10 cm. Selenoida tersebut diberi arus 2 a maka besar besar medan magnet di tengah selenoida dan di ujung selenoida adalah. 1 seutas kawat dialiri arus listrik i 2 a seperti gambar berikut. Contoh soal medan magnet dan pembahasannya berikut di bawah ini adalah contoh contoh soal menentukan besar medan magnet beserta arahnya yang akan bermanfaat bagi para pembelajar untuk memahami dan mendalami materi medan magnet. Jawab kita ketahui rumus menghitung medan magnet di dalam selenoida adalah. Contoh soal medan magnet pada selenoida dan toroida beserta pembahasannya 1.
Soal dan pembahasan fluks magnetik. Tentukan fluks magnetik yang dilingkupi oleh loop. Soal nomor 1 un 2013 sepotong kawat menembus medan magnet homogen secara tegak lurus dengan laju perubahan fluks 3 wbs. Simak penjelsan dioda adalah berikut ini. Contoh soal induksi elektromagnetik dan pembahasan. A kuat medan magnet di titik p b arah medan magnet di titik p.
1 10 soal medan magnet dan pembahasan 1. Medan magnet merupakan ruang disekitar magnet yang masih dapat dirasakan adanya gaya magnetnya. Contoh soal magnet dan gaya lorentz ini disusun dalam bentuk pilihan berganda dilengkpai dengan pembahasan dan dirancang berdasarkan beberapa subtopik yang paling sering keluar dalam kajian magnet dan gaya lorentz untuk tingkat menengah pertama. Pada tahun 1820 seorang ilmuwan denmark hans christian oersted 1777 1857 menemukan suatu gejala yang menariksaat jarum kompas diletakkan di sekitar kawat berarus ternyata jarum kompas menyimpang. Loop kawat pada gambar di bawah ini memiliki ukuran 50 cm x 20 cm. Contoh soal induksi magnetik nomor 3 un 2013 sebuah muatan positif bergerak memotong medan magnet homogen secara tegak lurus.
Gambar yang benar tentang arah gaya magnet kecepatan dan medan magnet adalah. Sebuah kawat lurus panjang yang dialiri arus listik sebesar 10 a dari arah timur ke barat. Sebuah selenoida yang panjangya 10 cm memiliki jumlah lilitan 200 lilitan.













