Setelah c6h52nh22 terurai sebanyak 60 berapakah laju reaksinya jika diketahui c6h52nh22 berode dua terhadap laju reaksi dan i2 berorde satu terhadap laju reaksi. Pembahasan kimia un 2014 no.
Pengertian Laju Reaksi Faktor Rumus Orde Dan Contoh Soal
Contoh soal dan pembahasan laju reaksi. Contoh soal laju reaksi pilihan ganda dan jawaban pembahasan reaksi kimia ada yang berlangsung cepat ada pula yang berlangsung lambatkembang api akan menyala dengan cepat dan segera habis setelah kita sulut. Pengertian faktor yang mempengaruhi dan rumus beserta contoh soalnya lengkap konsep pembelajaran kimia merupakan konsep yang erat dengan kehidupan sehari hari. Laju reaksi terhadap. Sebelum masuk kedalam pembahasan materi yang akan dibahas yaitu pengertian laju reaksi persamaan laju reaksi rumus laju reaksi faktor yang mempengaruhi laju reaksi dan contoh soal laju reaksi beserta pembahasannya. Dalam proses reaksi kimia ada reaksi yang berlangsung dengan cepat dan ada pula reaksi kimia yang berlangsung dengan sangat lambat. Simak penjelasannya dibawah ini gaes.
30 contoh soal dan pembahasan laju reaksi ok pada kesempatan kali ini mas dennis akan memberikan contoh soal mengenai materi laju reaksi. 31 pembahasan kimia un 2015 no. Laju reaksi persamaan teori contoh soal hukum dan faktornya dosenpendidikancom reaksi kimia yang mempunyai karakteristik yang berbeda beda dalam hal kelajuan. Laju reaksi laju reaksi adalah. Hitung nilai tetapan laju reaksinya k. 2hgci 2 aq c 2 o 4 2 aq 2co 2 g hg 2 ci 2 s 2ci aq diketahui dengan mengukur jumlah mol hg 2 ci 2 yang mengendap per liter per menit dan diperoleh data diperoleh data sebagai berikut.
Dalam sebuah wadah bervolume 5 liter 10 mol c6h52nh22 direaksikan dengan 8 mol i2 pada suhu tertentu. Pembahasan soal laju reaksi lainnya bisa dilihat di. Pengertian laju reaksi kimia rumus contoh soal faktor faktor yang mempengaruhi orde praktikum pembahasan grafik katalis persamaan laju reaksi sama dengan kecepatan reaksilangit di malam hari saat perayaan tahun baru atau hari hari istimewa lainnya menjadi lebih indah ketika nyala kembang api mulai kelihatan di angkasa. Dari data tersebut tentukan orde reaksi terhadap hgci 2 dan c 2 o 4 2 serta orde reaksi keseluruhan. Dalam hokum laju reaksi orde reaksi terhadap x adalah 1 sehingga konsenterasi y dan z yang tetaplaju reaksi berbanding lurus dengan peruban konsenterasi x pangkat 1. Diketahui tetapan laju reaksi k adalah 25 x 10 6 718.
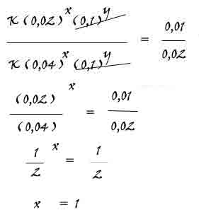
Berikut ini beberapa contoh soal dan pembahasan mengenai materi laju reaksi semoga dapat bermanfaat dan menambah pengetahuan adik adik semua selamat belajar. 29 pembahasan kimia un 2014 no. Laju reaksi berbanding lurus dengan perubahan konsenterasi z pangkat 1. Laju reaksi berbanding lurus dengan perubahan konsenterasi z pangkat 2. Kimia menggambarkan kehidupan sedemikian rupa sehingga. Jadi harga laju reaksi saat q dan t masing masing diubah menjadi 05 m adalah 390 mdet e.
















