Kegiatan posyandu kegiatan posyandu yaitu melayani balita ibu hamil dan wus pus untuk meningkatkan angka kesehatan ibu dan bayi melaksanakan imunisasi vaksin kb melakukan penyuluhan kepada masyarakat dalam pencegahan penyakit dan lain lain. Penyusunan laporan ini di maksudkan adalah untuk memberikan gambaran hasil kinerja program atau kegiatan yang dilaksanakan oleh pendamping kader posyandu kecamatan lelea selama tahun 2017 dan juga sebagai bahan atau pedoman dalam menyusun program atau kegiatan untuk meningkatkan pengembangan posyandu di masa mendatang.
                        Pendataan Layanan Gizi Dan Kesehatan Anak Di Posyandu Ppt
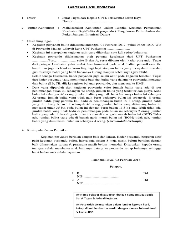
Contoh laporan kegiatan posyandu. Pengorganisasian posyandu mencakup adanya struktur organisasi yaitu adanya perencanaan kegiatan mulai persiapan monitoring oleh petugas sampai evaluasi proses dan hasil kegiatan. Untuk kelancaran pelaksanaan kegiatan di posyandu lansia dibutuhkan sarana dan prasarana penunjang yaitu. Posyandu tersebar di lebih dari 70000 desa di indonesia. Pelaporan kegiatan posyandu diantaranya. Secara keseluruhan seluruh posyandu di wilayah puskesmas abeli termasuk dalam kategori posyandu purnama4 posyandu nenas posyandu melati posyandu mujur jaya dan posyandu melati termasuk dalam posyandu tingkat purnama karena kegiatan bulanan purnama adalah posyandu yang sudah melaksanakan kegiatan lebih dari 8 kali per tahun dengan jumlah kader sebanyak 5 lima orang. Dalam menyampaikan laporan dapat dilakukan langsung secara lisan maupun tulisan.
Selain posyandu untuk anak dan ibu hamil posyandu juga memberikan pelayanan bagi masyarakat usia lanjut melalui posyandu lansia dan pada bulan agustus kemarin sesuai rogram pemerintah tentang imunisasi campak rubella mr posyandu desa bersama puskesmas bantarbolang melakukan kegiatan kampanye imunisasi campak rubella mr untuk wilayah desa pegiringan. Contoh laporan singkat kegiatan jika kita bekerja pada sebuah institusi atau berorganisasi di sekolah setiap kegiatan yang diselenggarakan baik itu kegiatan pelatihan bakti sosial pramuka lomba 17 agustus dan acara acara lainnya pasti selalu dimintai pertanggungjawabannya entah itu berupa laporan tertulis ataupun dokumentasi berupa foto. Pemerintah indonesia dengan kebijakan kepmenkes mengupayakan untuk mengaktifkan kembali kegiatan di posyandu karena posyandulah tempat paling cocok untuk memberikan pelayanan kesehatan pada balita secara menyeluruh dan terpadu. Saat ini posyandu sangat primadona. Contoh laporan laporan merupakan bentuk pemberitahuan atau penyampaian berita dari seorang bawahan terhadap atasannya akan suatu kejadian atau kegiatan. Kia kesehatan ibu dan anak.
Pos pelayanan terpadu lanjut usia posyandu lansia adalah suatu wadah pelayanan kepada lanjut usia di masyarakat yang proses pembentukan dan pelaksanaanya dilakukan oleh masyarakat bersama lembaga swadaya masyarakat lsm lintas sektor pemerintah dan non pemerintah swasta organisasi sosial dengan menitikberatkan pelayanan promotif dan preventif tanpa mengabaikan pelayanan kuratif dan. Penyampaian laporan dari bawahan merupakan bentuk pertanggungjawaban terhadap pimpinannya yang memegang kekuasaan. Tempat kegiatan gedung ruangan atau tempat terbuka meja dan kursi alat tulis buku pencatatan kegiatan timbangan dewasa meteran pengukuran tinggi badan stetoskop tensi meter peralatan laboratorium sederhana thermometer kartu menuju sehat kms lansiaadmin. Adanya kejelasan tugas dan alur kerja yang jelas serta dipahami oleh kader posyandu.
















