1 kebutuhan sosial untuk meningkatkan kemampuan sistem pendidikan yang efisien dan manusiawi. Komponen pengembangan keprofesian berkelanjutan pkb pengembangan keprofesian berkelanjutan harus dilakukan berdasarkan kebutuhan guru yang bersangkutan.
                        Menjadi Guru Zaman Now Dan Cara Pembelajaran Siswa Memasuki
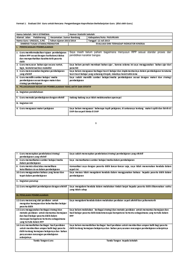
Contoh rancangan strategi pengembangan guru berkelanjutan. Kebutuhan yang dimaksud adalah kebutuhan untuk mencapai danatau meningkatkan kompetensinya di atas standar kompetensi profesi guru. Maupun bagi sekolah secara keseluruhan. Pengembangan keprofesian berkelanjutan pkb merupakan salah satu kegiatan yang dirancang untuk mewujudkan terbentuknya guru yang profesional. 3 kebutuhan untuk mengembangkan dan mendorong keinginan guru. Sebaiknya guru bisa berbagi dan bekerja sama dengan guru lain dan akan lebih baik apabila kerjasama tersebut dilakukan dalam forum kkg mgmp. Program pengembangan keprofesian berkelanjutan pkb ini diarahkan untuk dapat memperkecil jarak antara.
Tujuan pengembangan profesional guru dimaksudkan untuk memenuhi tiga kebutuhan. Pengembangan guru berkelanjutan seyogyanya memiliki serangkaian aktivitas reflektif untuk meningkatkan kemampuan pengetahuan pemahaman dan keterampilan seorang guru dalam hal ini mendukung pemenuhan kebutuhan seseorang dan meningkatkan praktik profesional mereka. Guru pertama dengan pangkat penata muda golongan ruang iiia sampai dengan pangkat pembina utama golongan ruang iv e wajib melaksanakan kegiatan. Butir 4 diisi dengan pendapat guru danatau sekolah tentang dampak dari berbagai kegiatan pengembangan diri yang diikuti. Yang dimaksud dengan strategi pengembangan profesionalitas guru adalah suatu cara atau upaya yang dilakukan oleh seseorang atau organisasi dalam mengembangkan profesionalitass guru. Strategi pengembangan keprofesian berkelanjutan diisi dengan memberi.
Buatlah rancangan strategi pengembangan guru berkelanjutan. Berdasarkan permenn eg pan dan reformasi birokrasi nomor 16 tahun 2009 yang dimaksud dengan pengembangan keprofesian berkelanjutan pkb adalah pengembangan kompetensi guru yang dilaksanakan sesuai dengan kebutuhan bertahap berkelanjutan untuk. 2 kebutuhan untuk menemukan cara cara untuk membantu staf pendidikan dalam rangka mengembangkan pribadinya secara luas. Rencana pengembangan keprofesian berkelanjutan yang akan dilakukan guru untuk peningkatan kompetensi terkait. Butir 5 diisi dengan pendapat guru tentang permasalahan yang dihadapinya dalam meng implementasikan hasil berbagai kegiatan pengembangan diri tersebut. Ketidakhadiran guru merupakan masalah yang sering terjadi bahkan beberapa guru karena alasan kesehatan tidak dapat melaksanakan tugas sampai beberapa tahun lamanya.
Sumber daya manusia dalam konteks manajemen adalah kesiapan masyarakat untuk mengkontribusikan kesamaan kehendak guna mencapai tujuan yang sama. Hasil penilaian untuk memberikan umpan balik bagi peserta didik tentang kemajuan belajarnya dan bahan penyusunan rancangan pembelajaran. Contoh rancangan strategi pengembangan guru berkelanjutan tambah komentar bab 1. Tahun 2005 tentang standar nasional pendidikan akan memfasilitasi guru untuk dapat mengembangkan keprofesiannya secara berkelanjutan. Dimaksudkan pengembangan keprofesian berkelanjutan adalah pengembangan kompetensi guru yang dilaksanakan sesuai dengan kebutuhan bertahap berkelanjutan untuk meningkatkan profesionalitasnya.















